D-生物素98%
中文名称:D-生物素,维生素H
含量:98%
CAS:58-85-5
EINECS No.:200-399-3
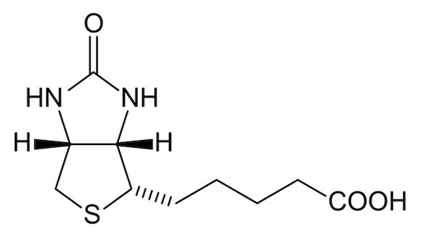
分子结构式:

颜色性状:白色粉末
包装:(1/5kg*4)/纸箱
有效期:阴凉封闭环境下可以保存2年
证书:GMP/KOSHER/MUL/HALAL等
来源:在牛奶、牛肝、蛋黄、动物肾脏、草莓、柚子、葡萄等水果、瘦肉、糙米、啤酒、小麦中都含有生物素。在复合维生素B和多种维生素的制剂中,通常都含有维生素H。
简介:生物素(Biotin)为维生素B群之一,又称维生素H、维生素B7、辅酶R(Coenzyme R)等。生物素在肝、肾、酵母、牛乳中含量较多,是生物体固定二氧化碳的重要因素。容易同鸡蛋白中一种蛋白质结合,大量食用生蛋白可阻碍生物素的吸收导致生物素缺乏。
用途:用于膳食补充剂,强化食品以及压片和制备硬胶囊。