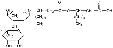
鼠李糖脂
上一产品:ε- 聚赖氨酸盐酸盐
下一产品:二甲基β-丙酸噻亭
产品中心
热门产品

